Den här bilden från NASA https://www.nasa.gov/image-article/earth-night/ visar hur hela världen ser ut på natten. Särskilt framträdande är utvecklade områden med många städer som Europa, USA och Japan. Ännu mer tätbefolkade områden som Kina och Indien är något mörkare eftersom deras konsumtion av elektricitet är lägre. Bilden är från 2009 och är ett montage av över 400 satellitbilder.

För att hejda konsumtionen och därmed minska utsläppen av växthusgaser är det nödvändigt att också folkökningen minskar.
Varför fokuserar vi på åtgärder som hejdar folkökningen och därmed möjliggör en långsiktigt hållbar mänsklig population?
Vi människor försämrar snabbt planetens livsbetingelser genom fossilbränslebruk och därigenom ödesdiger temperaturhöjning, avskogning, giftspridning, vattenförstöring, utarmning av förnybara resurser, mineralförbrukning, ökenspridning och andra destruktiva aktiviteter som lett till utrotning av många arter och hotar vår egen existens.
Vi förbrukar sedan många år mer förnybara resurser än jorden förmår återskapa!
Försämringarna har två grundorsaker: ökat antal människor och ökad resursförbrukning per person.
Politiker, media, opinionsbildare och miljöorganisationer lyfter vanligen bara fram det andra grundproblemet: hög resursförbrukning per person hos oss i rika länder, och hos rika i medel- och låginkomst-länder.

Bild 1: Materiella ”Footprint” i tonn per kapita för olika samhällsklasser. Antal ton för 1970 (blå, vänster) och 2017 (gul, höger).
Bild 1. illustrerar i ett nötskal hur skev fördelningen är. Går vi till CO2-utsläpp är mönstret detsamma. De rikaste 10 procenten av världens befolkning (varav en del naturligtvis lever i u-länder) svarade för mer än 50% av CO2-utsläppen mellan 1990 och 2015. Den rikaste procenten stod för hela 15 %. Samtidigt vet vi att om tex låginkomstländerna skulle uppnå motsvarande vår levnadsstandardnivå med samma fotavtryck som vi skulle förstörelsen av ekosystemen och destabiliseringen av klimatet vara omöjliga att undvika. Det behövs en mindre revolution i vårt sätt att tänka och värdera vad som är viktigt i livet. Livskvalitet är trots allt så mycket mer än materiell konsumtion!
Cirka 1 procent av de med inkomster motsvarande över cirka 1 miljon SEK per år orsakar lika mycket klimatföroreningar som de fattigaste 65 procenten globalt . https://www.nature.com/articles/s41560-021-00900-y
Hur förhåller sig Sverige gentemot de övriga EU länder? se även för de nordiska länder https://www.sciencedirect.com/science/article/pii/S2352550925000594 och Eurostat, 2024a .
| Kontextuella faktorer | EU-27 genomsnitt | Sverige |
| Materialavtryck, ton per capita | 14.9 | 21.9 |
| Total avfallsgenerering, ton per capita | 5 | 15.6 |
| MSW generation, kg per capita | 513 | 395 |
| MSW återvinning, % | 48,7 | 39,7 |
| WEEE-återvinning, % | 80,7 | 76,3 |
| Cirkulär materialanvändning, % | 11.8 | 9.9 |
MSW= kommunal fast avfall; WEE=avfall från elektrisk och elektronisk utrustning
Vår konsumtion måste minska snabbt för att vända den katastrofala utvecklingen.
Men, något som Bild 1 inte visar är var de människor finns i de olika samhällsklasser i olika länder, se även https://overpopulation-project.com/reconciling-human-demands-with-planetary-boundaries/

Bild 2: Eco-balans för världens länder. En negative balans (-) är inte ekologisk hållbart. Fig. från Tamburino och Bravo https://www.sciencedirect.com/science/article/pii/S1470160X21006385

Bild 3. Världens länder uppdelade i 4 grupper för ekologisk hållbarhet (E) och humanitär utveckling (H) så att länder med + uppfyller kriterierna och – inte uppfyller dessa. Fig. från Tamburino och Bravo https://www.sciencedirect.com/science/article/pii/S1470160X21006385
För t ex Indien (som redan är E-H-) och Kina (som nu är E-H+) och andra länder (och förstås Afrika framgent) är det viktigt att komplettera med totalpopulation, och ökande population, i dessa länder eller regioner. Bild 3 visar att redan stora delar av Afrika har E-H-. Framför allt ger ökande medelklass effekt vid ökat välstånd, eftersom de flesta människor ryms inom denna kategori, se bild 4 från https://www.brookings.edu/blog/future-development/2018/09/27/a-global-tipping-point-half-the-world-is-now-middle-class-or-wealthier/
Bild 4 visar att det blir ett skift i antalet människor på jorden som är fattiga (poor), utsatta (vulnerable), medelklass (middle class) eller rika (rich), så att medelklassen dominerar ännu mera från 5.3 miljard människor till 7 miljarder 2030 (OBS en prognos är ju alltid riskabel).

Bild 4: Antalet människor på jorden från 2018 till 2030 för olika inkomstgrupper. Inom parenteser ökning resp. minskning i antalet i varje grupp. Data: Projections by World Data Lab
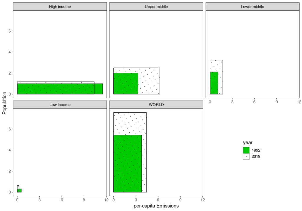
Vilka grupper bidrar totalt sätt mest till CO2 utsläppen?
En dominerande berättelse är att det inte är relevant att ta itu med befolkningen för att mildra klimatförändringarna eftersom befolkningen bara växer i de fattigaste länderna, vars bidrag till globala utsläpp är försumbart. En analys av koldioxidutsläpp och befolkning för Världsbankens fyra inkomstbaserade landsgrupper visar dock att: (i) låginkomstgruppen representerar den minsta andelen av världens befolkning (8 %), medan den största andelen (43 %) tillhör den lägre medelgruppen, vars bidrag till globala utsläpp inte är försumbart; (ii) befolkningen växer inte bara i låginkomstgruppen utan i alla fyra grupperna; (iii) fertiliteten förblir över ersättningsgraden i nästan alla länder i låginkomst- och låginkomstgrupperna, i ungefär hälften av länderna i den övre medelgruppen och i 3 länder i höginkomstgruppen;
World’s Bank data inkluderar bara direkta utsläpp, annars skulle utsläppen från low-income gruppen vara större. Men i alla fall är utsläppen från mellangrupperna mycket större, från dessa kommer den största bidragen och även bidragen som ökat mest (både per-capita och totalt).
Här hittar du flera detaljer: https://eartharxiv.org/repository/view/3457/

Per-capita emissions vs population: data source: World’s Bank; analysis by Lucia Tamburino and Philip Cafaro (2023)
se även Tamburino L, Cafaro P, Bravo G. An Analysis of Three Decades of Increasing Carbon Emissions: The Weight of the P Factor. Sustainability. 2023; 15: 3245. https://www.mdpi.com/2071-1050/15/4/3245I .
Vi fokuserar i vårt nätverk på den första grundorsaken, som inte uppmärksammats i Sverige de senaste decennierna, men är ytterst allvarlig: jordens fortsatt snabba folkökning och dess konsekvenser. Ökningen under senare tid är exceptionell: världens befolkning har fördubblats på 50 år, från nästan 4 miljarder 1970 till över 8 miljarder år 2024!
Fortsatt ökning hotar kommande generationers livsvillkor och motverkar framsteg via minskad förbrukning per person. Folkökningen som orsak till världens problem är föga belyst i media. Ökningen har inte heller lett till engagemang i politiska partier eller miljöorganisationer. Nätverket vill bidra med att höja kunskapen om folkökningen och dess konsekvenser, och visa på konkreta möjligheter att hejda ökningen och nå en långsiktigt hållbar mänsklig population.

Den atmosfäriska koncentrationen av koldioxide, CO2 , har sedan den industriella ”revolutionen” började brant ökat till en nivå som aldrig har varit så hög under de gångna 400 000 år, då det max har legat på 300 ppm, medan det låg på 415 ppm den 11te Juli 2020. Prognosen för 2024 är 423 ppm. Samtidigt har koncentrationen av syrgas, O2 motsvarande minskat. Skenbart verkar det ju att det skulle finnas ett direkt samband mellan antal människor och CO2 ökningen, men glöm ej att det är pga förbränningen av fossilt kol att balansen stördes.
IPCC skriver i het sammanfattande dokument att både folkökning och konsumtionsökning ligger bakom ökande utsläpp av CO2. Dessutom leder dessa till ökande utsläpp av de övriga växthusgaser och även allt övrigt avfall som upptar mer och mer plats både på land och i havet. I många ”icke-västländer” (Kina, Sydostasien, Sydamerika och Brasilien, Indien) finns idag också en starkt växande medelklass med hög konsumtion. Kina är snart som ett Europa i sig. Europa och USA, kommer att förlora i tillväxt framgent, de andra kommer att öka, i konsumtion/individ och därmed i utsläpp/individ. Det får stark effekt på utsläppen om folkökningen inte bromsas. Befolkningsutvecklingen har haft, har och kommer att ha en avgörande betydelse för klimatet och övriga miljö/hållbarhetsaspekter. Det förhållandet att befolkningsökning och utsläpp av växthusgaser de sista 100 år har utvecklats likartat beror på att de bakomliggande orsakerna i huvudsak är desamma, dvs människans förmåga att krama fram lättillgänglig energi ur fossila källor. Utan detta hade vare sig klimatförändringen eller befolkningstillväxten varit densamma. Nu håller det inte längre.
Den historiska befolkningsökningen kan vi inte göra något åt. På lång sikt, fram till år 2100, skulle en minskad folkökning (om realiserad) ge samma reduktion i årliga växthusgasutsläpp som en möjlig minskad fossil-användning, enlig modeller som publicerats. Dvs, de två alternativen kan ge ungefär samma utsläpp/år vid 2100. Endast bättre ”befolkningspolitik” är alltså ingen ”quick-fix” av klimatet. För att vända utvecklingen krävs omedelbara, stora förändringar av utsläpp/konsumtion/livsstil globalt sett, men framför allt i de högkonsumerande grupperna (som verkligen finns även i Kina och Indien). Inget av detta gör vår ambition att sätta befolkningsfrågan på agendan mindre viktig.